반응형
하이 에블바리. 잇츠미. 퓨쳐 잉티. 김맹고.
IT기업 콘텐츠 마케팅 하다가 임용판에 뛰어든 영어 고인물...
관직에 오르기 위해 오늘도 해보는 기출분석 시리즈 ver.2017

#A3 - Reduced Vowel [ɪ]
While all vowels of English (except [ə]) can occur in stressed syllables, many of these vowels reveal alternations with an [ə] in reduced syllables in mophologically related words, as shown in (1)
In the texamples in (2), [ɪ] occus before palato-alveolar as in (2a) or before ________ as in (2b). |
➜ stressed syllable 에서 Reduced syllalbe 되면서 [ə] 가 되어버린. ➜ [ɪ] +[ k, ŋ, g ] |
(+추가 정보)
Topic [tapɪk] ➜ Topical [tapɪkəl]
🚩velar [k] 앞에 ɪ 가 있음에도 불구하고 ə로 reduced되지 않은 이유는?
🚩같은 음절에 있지 않기 때문. (Tautosyllabic 아니기 때문.)
#A4 - Trisyllabic Laxing
Trisyllabic laxing is a rule which changes a tense vowel into a lax vowel. This rule applies when the target vowel is pushed into the ante-penultimate syllable due to the attachment of a suffix, as exemplified below.
|
➜ Suffix 붙으면 stress가 penult에서 antepenult로 밀려나면서 stress를 받으면서 tesne vowel 로 발음됐던 vowel은 stress 없으니까 lax vowel 됨. i ➜ ɛ ɑɪ ➜ ɪ e ➜ æ ɑɪ ➜ ɪ e ➜ æ ➜ nightingale, ivory는 3syllable 이라는 공통점이 있지만, suffix가 붙어 만들어진 단어가 아님. ➜suffixes/ suffix. |
(+추가)
Trisyllabic laxing - occurs when the target vowel is pushed into the ante-penultimate syllable due to the attachment of a suffix.
suffix 계열에 따라 trisyllabic laxing이 안일어나기도 한다.
🚩 brave [brev]
🚩 bravery [brevərɪ] : antepenult에 있는데도 laxing 안일어남.
🚩 weary [wiri]
🚩 weariness [wirɪnɪs] :antepenult에 있는데도 laxing 안일어남.
#A12 - Unaccusative/Unergative Verbs.
답 쓰기 헷갈리네. explain the reason이 이렇게 간단하단 말이야?
| Not all intransitive verbs are of the same kind. Compare the two sentences in (1) and (2). (1) An angel jumped on the hill. (2) An angel appeared on the hill. Although both of the above sentences are intransitive, they are not the same kind. They have different syntactic and semantic properties. In (1), the subject originates in the specifier position external to the V-bar constituent, receiving an Agent role. Verbs like jump are known as unergative verbs. However, in (2), the superficial subject originates in the complement position within the immediate V-bar projection of the verb, receiving a Theme role. Then it moves to subject position. Verbs like appear are known as unaccusative verbs. The two types of intransitive verbs can be distinguished by means of tests such as the following. Unaccusative verbs like appear allow a word order called there inversion, where the underlying complement remains in its original position after the verb. On the other hand, since the subject of unergative verbs like jump does not originate in the complement position of the verbs, it isn't allowed to appear in that position after the verbs with there inversion, as shown below. (3) *There jumped an angel on the hill (4) There appeared an angel on the hill. |
➜ unergative verbs : intransitive verb having an agent. ℹ walk / talk / jump / eat / shop / salute ➜ unaccusative verbs : intransitive verb whose argument is not an agent. Semantically similar to the direct object of a transitivie verb or subject in the passive. ℹ die / fall / appear / occur / remain / arise |
|
|
- Identify the TWO sentences containing an unaccusative verb in <B> and explain the reason by using the test described in <A>
[답안]
First, sentences (3) and (5) contain unaccusative verbs 'reamained' and 'arose' respectively.
The Subject NPs of the verbs receive a theme role, not an agent role, and there inversion is allowed as follows:
(3) there remained several stduetns in the school library.
(5) there arose several complications in the medical experiment.
#B3 - Phonology - Insertion/Deletion
| The shcwa vowel /ə/, which is a reduced or weak vowel in English, can be deleted in fast speech, as exemplified in (1). (1) Schwa Deletion Careful Speech Fast Spech camera [ˈkæməɹə] [ˈkæmɹə] veteran [ˈvɛtəɹən] [ˈvɛtɹən] However, shcwa deletion is not observed in fast speech for the following words. (2) No Schwa Deletion Careful Speech Fast Spech facilitate [fəˈsɪləteɪt] [fəˈsɪləteɪt] *[fəˈsɪləteɪt] famous [ˈfeɪməs] [ˈfeɪməs] *[ˈfeɪms] In the following examples of morphologically related words, shcwa deletion may or may not be observed. (3) Careful Speech Fast Spech a. principal [ˈpɹɪnsəpəl] [ˈpɹɪnspəl] principality [pɹɪnsəˈpæləti] *[pɹɪnˈspæləti] b. imaginative [ɪˈmæʤənətɪv] [ɪˈmæʤnətɪv] imagination [ɪmæʤəˈneɪʃən] *[ɪmæʤˈneɪʃən] |
➜ shcwa 앞 syllable 에 stress 있음. [ˈkæməɹə] [ˈvɛtəɹən] ➜ 뒤에 또 다른 shcwa 온다. ➜ shcwa 앞 syllable 에 stress 있음. ➜ 뒤에 [eɪ]가 오거나 모음 아예 없음. Schwa deletion이 일어나는 애들은 ➜ shcwa 앞 syllable 에 stress 있음. ➜ delete되는 schwa 뒤에 또다른 schwa 있음. [ˈpɹɪnsəpəl] [ɪˈmæʤənətɪv] ➜ schwa deletion 안 되는 애들 [pɹɪnsəˈpæləti] [ɪmæʤəˈneɪʃən] |
- In the data given in (1) and (3), schwa deletion occurs in fast speech under two conditions related to a preceding and a following phonetic environment. State the two phonetic conditions for shcwa deletion.
[답안]
Schwa deletion occurs in fast speech when a schwa is preceded by a stressed vowel / stressed syllable and followed by another schwa.
#B5 - Grammar
The English article system seems deceptively simple because there are only two articles: the indefinite article a(n) and the definite article the. There are, however, many situations in which a noun phrase is considered definite and thus requires the definite article. Described below are five common uses for the definite article:
|
➜1. 이미 언급된 거 다시 언급할 때 ➜2. 청자의 눈에 직접 보이거나 환경적으로 그 존재를 알 때. ➜3. 듣는 이가 일반적으로 존재하는 두 대상 사이의 관계를 알고 있을 때. / a book 이 있으면 그 책의 author도 당연히 있겠지. ➜4. girl이 전에 언급되지 않았어도 뒤에서 수식. girl의 대상을 좁혀주고 identifiable해지게 만들어줌. ➜5. 일반적인 종류나 부류 멤버 이야기할 때. |
|
➜ taxi가 있으면 driver 과 passenger도 당연히 있겠지. |
- Identify which of the five uses of the definite article described in <A> best accounts for the use of the two definite articles in <B>. Then explain the reason.
[답안]
(1)Identify which of the five uses of the definite article described in <A> best accounts for the use of the two definite articles in <B>.
➜ The associative use in <A> accouts for the use of the definite articles in the sentence <B>.
(2) Then explain the reason.
➜ The speaker assumes that the listener knows that a taxi must have a driver and that it usually has passengers; therefore, a definite article comes before both driver and passengers.
#B6 - Binding Theory
이거, 답 쓰기 까다로운데?
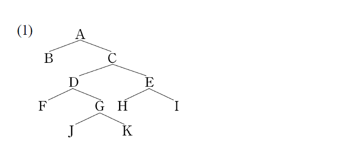
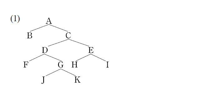
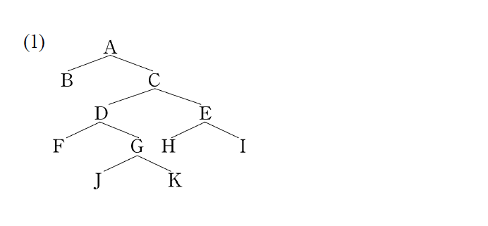
Anaphors such as each other have to be bound by their antecedent. An anaphor must satisfy two conditions to be bound. An anaphor can be bound if it is coindexed(i.e., coreferential) with its antecedent and is also c-commanded by that antecedent within the smallest clause or noun phrase containing the anaphor. A node c-commands its sister and all the descendents of its sister. For example, in (1), B C-commands C, D, E, F, G, H, I, J, and K; however, I c-commands only H, which is its sister. It does not c-command any other nodes.![]() Consider the two structures for the verb phrase in the double object construction (2). (3) is a ternary (three) branching structure, which is a kind of multiple branching structure, and (4) a binary branching structure. (2) Tom will give Mary a book. ![]() In (3) and (4), the direct and indirect obejects have different structural relations. |
|
|
➜Anaphors 'each other' should be ①coindexed with its antecedent. ②c-commanded by its antetcedent. |
- Identify which VP structure, (3) or (4) can account for the ungrammaticality of sentence (ii) in <B>. Then, explain why one, but not the other structure, can account for the ungrammaticality by using the c-command relation described in <A>.
(4) can account for the ungrammaticality of the sentence (ii) in that 'each other' cannot be c-commanded by its antecedent 'the boys' inthe binary branching structure. In ternary branching structure (3) on the other hand, anaphor 'each other' is c-commanded by its antecednet 'the boys', therefore, it cannot accout for the ungrammticality of sentence (ii) in <B>
[답안 ver.1]
If the VP structure(4) fits (ii), 'each other' occurs in the specifier position of VP and 'the boys' appears in the complement position of the V'. In this case, according to the definition of the c-command in <A>, the antecedent 'the boys' cannot c-command its anaphor 'each other'. This fact can explain the ungrammaticality of the sentence (ii).
On the other hand, if the VP structure (3) is chosen, 'the boys' can c-command 'each other' and the ungrammaticality of the sentence (ii) cannot be explained.
[답안 ver.2]
(4) can account for the ungrammaticality of sentence (ii).
In (4), 'each other' cannot be c-commanded by 'the boys'. In contrast, (3) cannot explain the ungrammaticality of (ii) as the anaphor 'each other' satisfies all the conditions to be bound, since it is coindexed with 'the boys' and is c-commanded by its sister 'the boys'. Therefore, only (4) can account for the ungrammaticality of (ii).
반응형
'공부노트 > 영어학' 카테고리의 다른 글
| 2015 중등임용 영어 기출분석 (0) | 2023.03.21 |
|---|---|
| 2016 중등 임용 영어 기출분석 - 영어학 (0) | 2023.03.01 |
| 2018 중등 임용 영어 기출분석 - 영어학 (0) | 2023.02.15 |
| 2019 중등임용 기출분석 - 영어학 (0) | 2023.02.08 |
| 2020 중등임용 기출분석 - 영어학 (1) | 2023.01.28 |


댓글